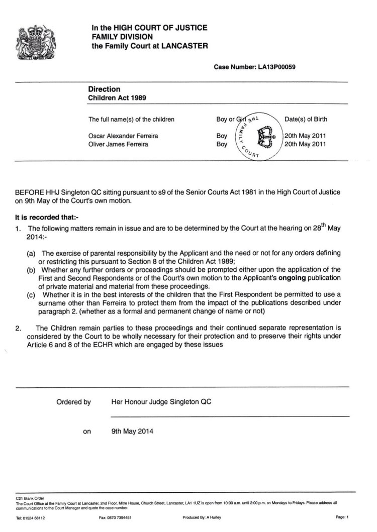
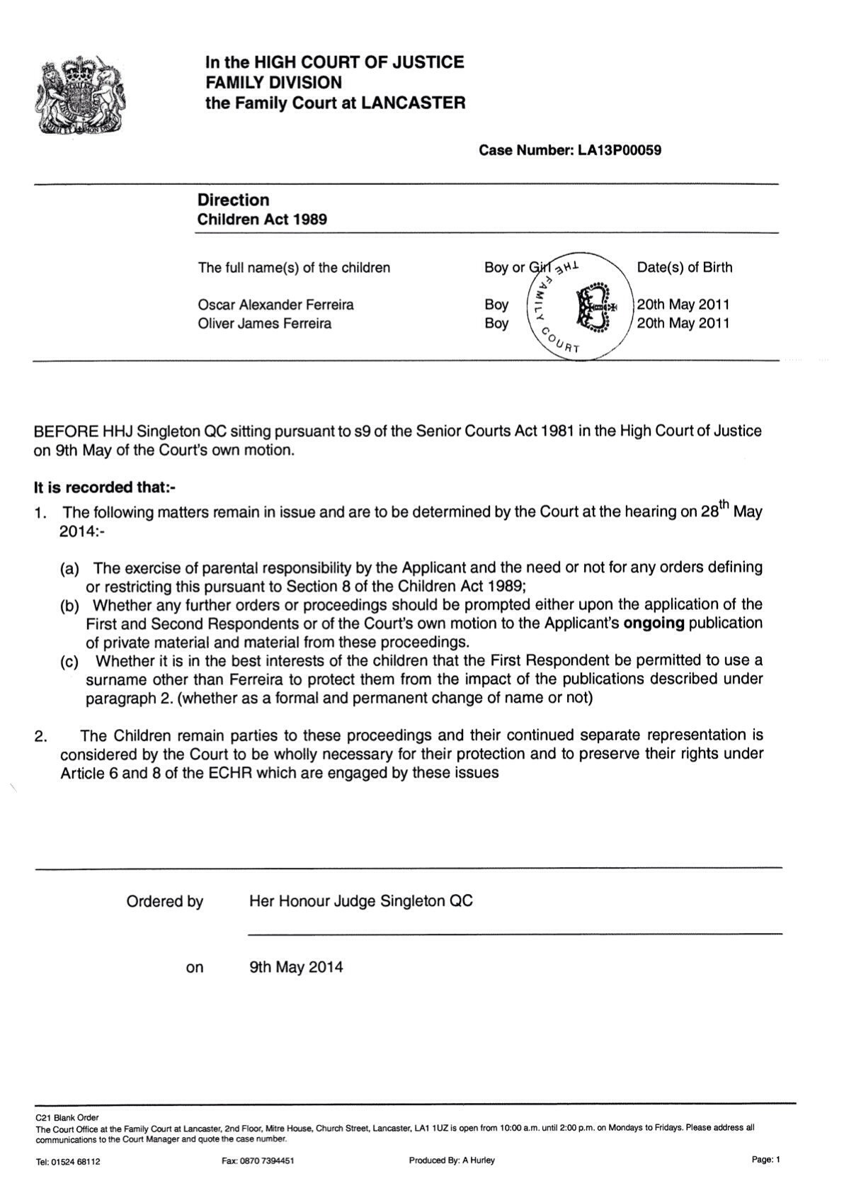
Now what I find amusing here is that in 14 months the Court have ignored each and every parental responsibility I have but now Judge Singleton wants to make an order to protect the alcoholic drug addicted paid surrogates parental responsibility , just one more example of how bias and unprofessional Judge Singleton and the High Court Family Division in the UK is in fact
She is ignoring my repeated requests to the Court for N161 review and still have not confirmed how she will have this hearing on 28 May as the MFA said they need 4 months to arrange it but ones again she thinks she is above the law !

Reblogged this on World4Justice : NOW! Lobby Forum..
LikeLike
WOW!!!
LikeLike
Indeed it boggles the mind what this Judge and Cafcass are trying to do to shut me up 🙂
LikeLike
They should have never had your children’s names spelled out in court documents anyhow. That is dumb. I insisted that my daughter’s be just initials. However, I like this idea of showing the court documents. The truth hurts. They do not like transparency. Too bad. Where is this happening in the UK?
LikeLike
Yes in the High Court in Lancaster UK , they are trying their best to gag me !
LikeLike